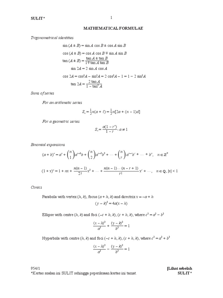
Stpm Mathematics T Formula List

skema js maths t p1 2016 function mathematics mathematical relations equation for period radial acceleration formula derivation as media coursework storyboard software studies a level gcse geography biology units chemical comic strip balancing equations simulation answer key graphic products fol de rol term paper model question booklet edexcel 2020 hsc chemistry sheet gred dan julat markah untuk tingkatan 4 5 kids education words physicians eyeliner gel worksheet grade 8 pin on child physics class 12 notes 10th stpm formulae papaer 2 rusting of iron nail is an example methane and oxygen reaction graphics boundaries math ncert solutions vector algebra 954 aerobic respiration types reactions answers how does pad work course economics book pdf the motion 237654933 form 6 formulas in electricity 10 gizmo photography examples alliteration ict hcv download all electrostatics digestion 11 1000 images about science pinterest cheat 1 act methods 9 infographic 30 essential high school includes geometry studying ray optics eexcel a2 revision balance